UKSNP00022
April 2024

Select profession

Understanding osteoarthritis

AnatomyOsteoarthritis (OA) is a chronic, degenerative joint disease that most commonly affects the knees, hands and hips1

1. GBD 2021 Osteoarthritis Collaborators. Lancet Rheumatol. 2023;5(9):e508-e522.

AnatomyIt is characterised by a reduction in synovial fluid and cartilage function, eventually leading to remodelling of articulating bones causing loss of joint space. This leads to a reduction in joint mobility, pain and stiffness. 

1. GBD 2021 Osteoarthritis Collaborators. Lancet Rheumatol. 2023;5(9):e508-e522.

OA is the most common form of arthritis in adults, characterised by chronic pain and loss of mobility.1

1. GBD 2021 Osteoarthritis Collaborators. Lancet Rheumatol. 2023;5(9):e508-e522.

2. Versus Arthritis. The state of musculoskeletal health 203. Versus Arthritis 2023; p30.

1. GBD 2021 Osteoarthritis Collaborators. Lancet Rheumatol. 2023;5(9):e508-e522.

2. Versus Arthritis. The state of musculoskeletal health 203. Versus Arthritis 2023; p30.

Pathophysiology of OA1

HEALTHY JOINT

OSTEOARTHRITIS

OA is a wear and repair process to an ageing or damaged joint, which over time can cause pain, stiffness and loss of function. This can disrupt lives, limit independence and reduce quality of life.

1. CDC. Osteoarthritis - www.cdc.gov/arthritis/basics/osteoarthritis.htm. Access date: 03/2023

2. Yao Q et al. Signal Transduct Target Ther. 2023;8(1):56

Healthy synovial joints: The main functional joint
of the body1

Healthy synovial joints are characterised by the presence of a joint cavity filled with synovial fluid encased in an articular capsule.1

Lubricating Function:

  • Reduces friction during joint movement
  • Prevents erosion of cartilage and bone surfaces
  • Enhances range of motion within joints

Nourishing Function:

  • Supplies essential nutrients to articular cartilage
  • Removes metabolic waste

Supporting Movement and Load Bearing:

  • Shock absorber during weight-bearing activities
  • Ensures even load distribution across joint surfaces

Synovial fluid is a crucial component of the joints, supporting everyday activities by reducing friction between articular cartilages of synovial joints during movement2.

1. Salva JE, Merrill AE. Dev Dyn. 2017;246(4):262-274.

2. Tamer TM. Interdiscip Toxicol. 2013;6(3):111-25.

There are many risk factors associated with the onset of OA

age

Age

OA prevalence
increases with each
decade of life

sex

Sex

OA tends to affect women
more frequently than men,
particularly in the knee joints

genetics

Genetics

Family history may
predispose individuals
to OA

exercise stress

Exercise stress

Excessive sports, and
conversely a lack of activity
increases risk of OA

injuries

Joint injuries

Including sports trauma
or accidents, can raise
the risk of OA

obesity

Obesity

Excess body weight places
added stress on
weight-bearing joints

metabolic

Metabolic disorders

Conditions like diabetes
influence the
progression of OA

occupational stress

Occupational stress

Certain jobs may predispose
patients to developing OA- heavy
jobs, bending/ squatting lifting
particularly knee and hip OA

Osteoarthritis is not limited to the elderly; younger individuals with active lifestyles can also be affected1

Stages of OA:

Grade 0: Pre-OA

Grade 1: (Early)

  • Good cartilage cover
  • Occasional joint discomfort and stiffness

Grade 2: (Moderate)

  • Notable wear of cartilage
  • More consistent pain and stiffness
  • Noticeable limitations in joint function

Grade 3: (Advanced)

  • Little remaining cartilage
  • Chronic pain
  • Significant loss of joint mobility, and potential joint deformities

Grade 4: (Surgical intervention)

  • Debilitating pain, severe joint deformities
  • No longer able to tolerate or manage symptoms

1. Arthritis Foundation. https://www.arthritis.org/diseases/osteoarthritis.
Access date: 23/10/2023.

2. Lieberthal J et al. Osteoarthritis Cartilage. 2015; 23(11):1825-34

3. Thomas AC et al. J Athl Train. 2017 Jun 2;52(6):491-496.

4. NIH. www.niams.nih.gov/health-topics/sports-injuries. Access date: 18/10/2023

Osteoarthritis is not limited to the elderly; younger individuals may develop early OA as a result of previous traumatic injury or active lifestyles1

1. Arthritis Foundation. https://www.arthritis.org/diseases/osteoarthritis. Access date: 23/10/2023.

2. Lieberthal J et al. Osteoarthritis Cartilage. 2015; 23(11):1825-34

3. Thomas AC et al. J Athl Train. 2017 Jun 2;52(6):491-496.

4. NIH. www.niams.nih.gov/health-topics/sports-injuries. Access date: 18/10/2023

OA is one of the most common causes of pain
in older adults1

Pain is the primary symptom of OA, presenting as either intermittent or chronic pain.2

Reduction in pain and regaining normal function are key treatment goals for patients, allowing individuals to have a good quality of life.2

  1. Dagnino APA et al. Front Hum Neurosci. 2022;16:736688.
  2. Fu K et al. Rheumatology (Oxford). 2018; 57(suppl_4):iv43-iv50.
  3. Felson DT et al. Ann Intern Med 2001;134:541–9.
  4. Baker K et al. Ann Rheum Dis 2010;69:1779–83.
  5. Kornaat PR et al. Radiology 2006;239:811–7.
  6. Hill CL et al. J Rheumatol 2001;28:1330–7.
  7. McDougall JJ and Muley MM. Handb Exp Pharmacol 2015;227:239–60.
  8. Miller RE et al. Cytokine 2014;70:185–93.
  9. Arendt-Nielsen L et al. Curr Osteoporosis Rep 2015;13:225–34.

The impact of OA

OA can lead to chronic pain. Pain is a multi-factorial experience, influenced by biological (degree of OA in the joint), psychological (thoughts and feelings about their OA) and social factors (not being able to exercise or work due to OA). Everyone will have unique factors influencing their pain, therefore it is essential a person- centered approach is adopted to improve pain, function and quality of life.

Read more about some typical patient profiles on the following pages
or go straight to Management of OA.

The biophsychosocial model of health

David | 38 years old

The sports enthusiast – looking for a non-surgical option

Post-traumatic OA of the knee, linked to a previous injury.

Sport is my freedom. I want to be able
to continue without limits.

*Patient profiles are based on real experiences*

Ari | 44 years old

The worker – looking for a non-surgical option

Post-traumatic OA in the fingers and knees, linked to
significant use of his joints in professional activity, no surgery
because he cannot financially afford the time off of work.

My pain is starting to really impact my
activity. It worries me, I need this job.

*Patient profiles are based on real experiences*

Carole | 56 years old

The forgotten one – opportunity to avoid future surgery

OA linked to excess weight, pain in the knees and hips. The management of OA is part of an overall care and improvisation of status.

I want to feel comfortable in my body
again and regain my mobility.

*Patient profiles are based on real experiences*

Josette | 72 years old

The independent one – avoiding surgery, enjoying life.

Age-related OA of the knee and hips, functional discomfort, independent.

Recently retired, it’s really important
for me to be able to maintain my independence and social calendar.

*Patient profiles are based on real experiences*

Christine | 83 years old

The independent one – one the waiting list for surgery

Severe OA linked to aging, especially in the knees and hips, and eligible for surgery. On a waiting list.

I want to be able to enjoy my grandchild and my freedom as a retired person.

*Patient profiles are based on real experiences*

Management of OA

Goals of treatment1

Osteoarthritis management is complex, with no one-size-fits-all solution. Different treatments offer unique benefits, each with their own limitations.

Each patient’s experience with osteoarthritis is unique, influenced by their specific symptoms, lifestyle, and personal preferences.

1. NIH. https://www.niams.nih.gov/health-topics/osteoarthritis/diagnosis-treatment-and-steps-to-take. Access date: 22/10/2023.

Current treatment landscape

Existing treatment modalities may
not fully address these unmet needs1:

  • Pharmacological treatments with effective response longevity (>6 months)
  • Treatments that impacts disease progression rather than only reducing pain

1. Data on file, IBSA UK market research report 2023.

Hyaluronic Acid (HA) is an effective treatment
option for OA1

  • Inhibits the migration of white blood cells
  • Reduction of pro-inflammatory mediators and matrix metalloproteinases
  • Protects against free radicals, reducing oxidative stress
  • Forms a protective coating on nociceptors
  • Decreases nerve sensitivity
  • Enhances chondrocytes HA and proteoglycans synthesis
  • Restoration of viscoelastic properties

Intra-articular HA provides pain relief and improves
joint lubrication and function3.

1. Bannuru R. et al. Ann. Intern. Med. 2015;162 (1): 46-54.

2. Moreland LW. Arthritis Res Ther. 2003;5(2):54-67.

3. Migliore A. et al. Clin Cases Miner Bone Metab. 2015;12(1):31-3

Viscosupplementation with intra articular-HA capitalises on the unique characteristics of hyaluronic acid for OA management2

Supported by guidelines and clinical evidences3-5

Algorithm recommendation: ESCEO 20193

The use of intra-articular HA may be considered in patients who have contraindications to NSAIDs, or if the patient is still symptomatic despite the use of NSAIDs. IA-HA may be a good alternative to NSAIDs for knee OA, with a more favourable safety profile, especially for older patients or in those at greater risk for NSAID-induced adverse events.

Guidelines: EULAR 20034

There is evidence to support the efficacy of HA in the management of knee OA both for pain reduction (1B) and functional improvement (1B).

Recommendation: EUROVISCO 20235

The experts were unanimous in their opinion that the main aim of viscosupplementaion was to reduce pain and functional disability of the knee while reducing analgesic and anti-inflammatory treatments.

Review: COCHRANE 20066

Viscosupplementation is an effective treatment for OA of the knee with beneficial effects: on pain, function and patient global assessment.

IA-HA injection is considered a safe and effective therapy with long-term benefits that go beyond pain relief2

  1. Peck J. et al. 2021;13(2):25549.
  2. Migliore A. et al. Clin Cases Miner Bone Metab. 2015;12(1):31-3
  3. Bruyère O. et al. Seminars in Arthritis and Rheumatism. 2019;1-14.
  4. Jordan K.M. et al. Ann Rheum Dis. 2003;62(12):1145-55.
  5. Conrozier T. et al. Cartilage 2023, Vol. 14(2) 125-135.
  6. Bellamy N. et al. Cochrane Database Syst Rev. 2006;19(2):CD005321

Benefits of intra articular-HA compared to other treatments

Intra-articular HA demonstrates efficacy comparable to other OA treatments and is a viable option particularly with its favourable safety profile.

vs Corticosteroids1

Evidence suggests that while corticosteroids are more effective in the short term (up to 4 weeks), hyaluronic acid displays significant long term pain relief (4-26 weeks) in patients with knee OA and 1st CMC joint OA1

vs NSAIDs2

IA-HA injections and oral NSAIDs show comparable efficacy for knee OA. Given IAHA’s favourable safety profile, it is a viable alternative to NSAIDs, particularly for older patients prone to systemic adverse events associated with long term use2

Intra-articular therapies were found to be superior to NSAIDs in terms of relative efficacy3.

  • 1. Tenti, S., Pascarelli, N.A., Giannotti, S. et al. Can hybrid hyaluronic acid represent a valid approach to treat rizoarthrosis?
    A retrospective comparative study. BMC Musculoskelet Disord 18, 444 (2017). https://doi.org/10.1186/s12891-017-1809-5.
  • 2. Bannuru R. et al. Seminars Arthritis & Rheumatism 2014; 43 (5): 593-9.
  • 3. Bannuru R. et al. Ann. Intern. Med. 2015;162 (1): 46-54.
  • Abbreviations: HA, hyaluronic acid; IA, intra articular

Our solutions for OA

SinovialOne

2% hyaluronic acid

SINOVIAL® One contains sodium hyaluronate that is produced via a multiphase, biofermentation process, resulting in a product with a defined molecular weight (800-1200 KDalton).

The production process ensures SINOVIAL® One is completely devoid of animal proteins, negating any risk of allergy or transmission of pathogenic agents (e.g., viruses, prions).

THE DIFFERENCE

Low-to-mid molecular weight hyaluronic acids demonstrate superior effectiveness in restoring rheological properties of synovial fluid and mitigating synovial inflammation in large animal OA models, compared to high MW HA1-2

1. Vitanzo P.C and Sennett B.J. Am. Journ. Orthopedics 2006; 421-428.

2. Gosh P. and Guidolin D. Seminars Arthr. Rheum. 2002; 32 (1): 10-37.

SinovialOne

2% hyaluronic acid

Clinical proven efficacy and safety in:

  • Knee OA1-5
  • Hip OA4,6
  • Shoulder pain7
  • Elbow pain8

Sinovial One provides equivalent efficacy to existing
intra-articular hyaluronic acid products at a lower cost

  1. Galluccio F et al. Ther Adv Musculoskelet Dis. 2021;13.
  2. Abate M. et al. Eur J Orthop Surg Traumatol. 2015;25(8):1321-6
  3. Polacco A. et al. Eur J Inflam. 2013;11(3):847-53.
  4. Chevalier X. and Migliore A. European Journal of Inflammation 2013;11(3):573-580
  5. Pavelka K. et al. Osteoarthritis Cartilage 2011;19(11):1294-1300
  6. Migliore A. et al. Eur J Inflamm 2012;10(1):71-79
  7. Gigante G. et al. Eur J Inflamm 2013;11(3):777-787
  8. Petrella R.J. et al. Sports Med Arthrosc Rehabil Ther Technol 2010;2:4

OUR NEXT GENERATION IN VISCO-SUPPLEMENTATION

SinovialHL

3.2% hyaluronic acid
HYBRID COOPERATIVE COMPLEXES OF H-HA + L-HA

32 mg/1 ml (16 mg H-HA + 16 mg L-HA)
64 mg/2 ml (32 mg H-HA + 32 mg L-HA)

Clinical proven efficacy and safety in:

  • Knee OA
  • Hip OA4
  • Rizarthrosis5-6

SINOVIAL® HL is based on the latest intra-articular treatments: NAHYCO® technology

Its unique Hybrid Cooperative Complexes of H-HA and L-HA provide standout rheological and viscoelastic properties7

Available in two volumes to meet the needs of both small and large joints.

  1. Migliore A. et al. Rheumatol Ther. 2021;8(4):1617-1636.
  2. Papalia R. et al. J Biol Regul Homeost Agents. 2017;27;31(4 Suppl 2):91-102.
  3. Papalia R. et al. Arthroscopy. 2016;32(7):1466-77.
  4. Abate M. and Salini V. Int J Immunopathol Pharmacol. 2017;30(1):89-93.
  5. Bartoloni E. et al. Clin Exp Rheumatol. 2018;36 Suppl 112(3):113-120.
  6. Tenti S. et al. BMC Musculoskelet Disord. 2017;18(1):444.
  7. Sinovial® HL. Patient Information Leaflet. 2019.

SinovialHL

SinovialHL

3.2% hyaluronic acid
HYBRID COOPERATIVE COMPLEXES OF H-HA + L-HA

32 mg/1 ml (16 mg H-HA + 16 mg L-HA)
64 mg/2 ml (32 mg H-HA + 32 mg L-HA)

NAHYCO® PROPRIETARY TECHNOLOGY

Combine high and low molecular
weight hyaluronic acids

Utilising a patented thermal process,
without chemical modifications

The resultant hybrid cooperative complex
of HA exhibits unique rheological properties

SinovialHL

SinovialHL

3.2% hyaluronic acid
HYBRID COOPERATIVE COMPLEXES OF H-HA + L-HA

32 mg/1 ml (16 mg H-HA + 16 mg L-HA)
64 mg/2 ml (32 mg H-HA + 32 mg L-HA)

The dynamic viscosity of SINOVIAL® HL is reduced
compared to a mixture of H-HA + L-HA, yielding
several therapeutic advantages1-2:

  • Easier to inject, tolerated well and can be
    administered with higher gauge needles
  • Resistance to hyaluronidase enzyme, providing a
    sustained therapeutic window
  • Can be used in conjunction with PRP with
    demonstrative efficacy and safety profile

AN INNOVATION FOR YOUR NEEDS

Sinogel

2.4% Sodium hyaluronate
and 1.6% Sodium chondroitin

A patented, bio-technically derived hybrid of sodium hyaluronate and sodium chondroitin.

This unique formulation achieves high concentrations of hyaluronic acid without a significant increase in viscosity, as sodium chondroitin effectively modulates the viscosity of high molecular weight HA solutions.

Indicated as a solution for pain or reduced mobility due to degenerative diseases, post-traumatic diseases or joint alterations1

  1. Sinogel®. Technical File
  2. Sinogel®. Patient Information Leaflet. 2019.

AN INNOVATION FOR YOUR NEEDS

Sinogel

2.4% Sodium hyaluronate
and 1.6% Sodium chondroitin

PARTICULAR PROPERTIES

LARGE VOLUME OF SOLUTION (3 ML)

Specifically crafted for visco-supplementation of
large joints1

OPTIMAL VISCOSITY > > >
EASY TO USE AND INJECT1-2

RHEOLOGICAL PROFILE MIMICKING
HEALTHY SYNOVIAL FLUID3

Sinogel® fc=1.2 Hz

CLINICALLY PROVEN AND
EFFECTIVE IN HIP OA4-5

A study indicated promising therapeutic outcomes for patients with mild to moderate KOA when treated with a single HA-SC (Sinogel) intra-articular injection. The procedure was tolerated well, safe and produced statistically significant improvements across outcomes measured over a 6-month period. An encouragingly low number of patients required a second injection at 30 days.5

  1. Sinogel®. Technical File
  2. Sinogel®. Patient Information Leaflet. 2019.
  3. Giori A. et al. Giornale italiano di Medicina Riabilitativa 2022; 38 (4): 45-50.
  4. Papalia R. et al. Rheumatol Ther. 2021;8(1):151-165.
  5. Sconza C, Romano D, Scaturro D, Mauro GL, Leonardi G, Alito A, Respizzi S, Kon E, Di Matteo B. Safety and Efficacy of Hybrid Cooperative Complexes of Sodium Hyaluronate
    and Sodium Chondroitin for the Treatment of Patients with Symptomatic Knee Osteoarthritis. Rheumatol Ther. 2024 Apr;11(2):381-395. doi: 10.1007/s40744-024-00643-8

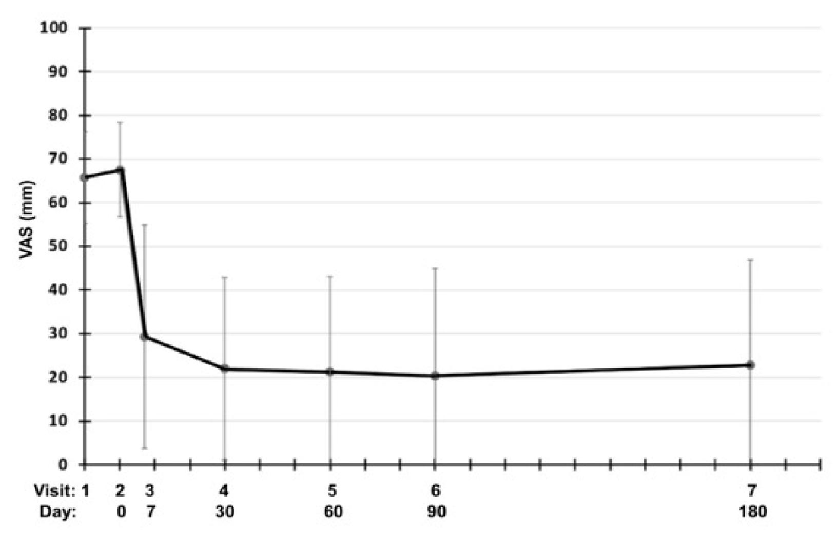
Effective and enduring

Rapid decrease in pain for paients suffering from hip OA treated with Sinogel1

A statistically significant REDUCTION IN PAIN (VAS) was evident WITHIN 7 DAYS of treatment, culminating in a SUSTAINED DECREASE through the 6-MONTH observation period.1

Sinogel is a natural-feeling intervention that re-establishes the viscoelastic properties of the synovial fluid, which is lost in osteoarthritis. It reduces pain quickly and restores joint function.2

  1. Papalia R. et al. Rheumatol Ther. 2021;8(1):151-165.
  2. Sinogel®. Patient Information Leaflet. 2019.

References

  1. GBD 2021 Osteoarthritis Collaborators. Lancet Rheumatol. 2023;5(9):e508-e522.
  2. Versus Arthritis. The state of musculoskeletal health 203. Versus Arthritis 2023; p30.
  3. CDC. Osteoarthritis - www.cdc.gov/arthritis/basics/osteoarthritis.htm. Access date: 03/2023
  4. Yao Q et al. Signal Transduct Target Ther. 2023;8(1):56
  5. Salva JE, Merrill AE. Dev Dyn. 2017;246(4):262-274.
  6. Tamer TM. Interdiscip Toxicol. 2013;6(3):111-25.
  7. Quicke JG et al. Osteoarthritis Cartilage. 2022; 30(2):196-206.
  8. Allen, K. D et al. Osteoarthritis and Cartilage. 2022; 30(2), 184-195.
  9. Harrogate and district NHS foundation trust. https://www.hdft.nhs.uk/osteo/. Access date: 20/10/2023.
  10. Arthritis Foundation. https://www.arthritis.org/diseases/osteoarthritis. Access date: 23/10/2023.
  11. Lieberthal J et al. Osteoarthritis Cartilage. 2015; 23(11):1825-34
  12. Thomas AC et al. J Athl Train. 2017 Jun 2;52(6):491-496.
  13. NIH. www.niams.nih.gov/health-topics/sports-injuries. Access date: 18/10/2023
  14. Dagnino APA et al. Front Hum Neurosci. 2022;16:736688.
  15. Fu K et al. Rheumatology (Oxford). 2018; 57(suppl_4):iv43-iv50.
  16. Felson DT et al. Ann Intern Med 2001;134:541–9.
  17. Baker K et al. Ann Rheum Dis 2010;69:1779–83.
  18. Kornaat PR et al. Radiology 2006;239:811–7.
  19. Hill CL et al. J Rheumatol 2001;28:1330–7.
  20. McDougall JJ and Muley MM. Handb Exp Pharmacol 2015;227:239–60.
  21. Miller RE et al. Cytokine 2014;70:185–93.
  22. Arendt-Nielsen L et al. Curr Osteoporosis Rep 2015;13:225–34.
  23. NIH. https://www.niams.nih.gov/health-topics/osteoarthritis/diagnosis-treatment-and-steps-to-take. Access date: 22/10/2023.
  24. Data on file, IBSA UK market research report 2023.
  25. Bannuru R. et al. Ann. Intern Med. 2015;162 (1): 46-54.
  26. Moreland LW. Arthritis Res Ther. 2003;5(2):54-67.
  27. Migliore A. et al. Clin Cases Miner Bone Metab. 2015;12(1):31-3
  28. Peck J. et al. 2021;13(2):25549.
  29. Bruyère O. et al. Seminars in Arthritis and Rheumatism. 2019;1-14.
  30. Jordan K.M. et al. Ann Rheum Dis. 2003;62(12):1145-55.
  31. Conrozier T. et al. Cartilage 2023, Vol. 14(2) 125-135.
  32. Bellamy N. et al. Cochrane Database Syst Rev. 2006;19(2):CD005321
  33. Bannuru R. et al. Arthritis & Rheumatism 2009; 61 (12): 1704-1711.
  34. Bannuru R. et al. Seminars Arthritis & Rheumatism 2014; 43 (5): 593-9.
  35. Vitanzo P.C and Sennett B.J. Am. Journ. Orthopedics 2006; 421-428.
  36. Gosh P. and Guidolin D. Seminars Arthr. Rheum. 2002; 32 (1): 10-37.
  37. Galluccio F et al. Ther Adv Musculoskelet Dis. 2021;13.
  38. Abate M. et al. Eur J Orthop Surg Traumatol. 2015;25(8):1321-6
  39. Polacco A. et al. Eur J Inflamm. 2013;11(3):847-53.
  40. Chevalier X. and Migliore A. Eur J Inflamm 2013;11(3):573-580
  41. Pavelka K. et al. Osteoarthritis Cartilage 2011;19(11):1294-1300
  42. Migliore A. et al. Eur J Inflamm 2012;10(1):71-79
  43. Gigante G. et al. Eur J Inflamm 2013;11(3):777-787
  44. Petrella R.J. et al. Sports Med Arthrosc Rehabil Ther Technol 2010;2:4
  45. Migliore A. et al. Rheumatol Ther. 2021;8(4):1617-1636.
  46. Papalia R. et al. J Biol Regul Homeost Agents. 2017;27;31(4 Suppl 2):91-102.
  47. Papalia R. et al. Arthroscopy. 2016;32(7):1466-77.
  48. Abate M. and Salini V. Int J Immunopathol Pharmacol. 2017;30(1):89-93.
  49. Bartoloni E. et al. Clin Exp Rheumatol. 2018;36 Suppl 112(3):113-120.
  50. Tenti S. et al. BMC Musculoskelet Disord. 2017;18(1):444.
  51. Sinovial® HL. Patient Information Leaflet. 2019.
  52. Stellavato A. et al. J Biol Regul & Homeost Agents. 2016; 30, 4(S1): 7-16.
  53. La Paglia E. et al. Giornale Italiano di Ortopedia e Traumatologia 2017; 43: 215-226.
  54. Sinogel®. Technical File
  55. Sinogel®. Patient Information Leaflet. 2019.
  56. Giori A. et al. Giornale italiano di Medicina Riabilitativa 2022; 38 (4): 45-50.
  57. Papalia R. et al. Rheumatol Ther. 2021;8(1):151-165.
  58. Sconza C, Romano D, Scaturro D, Mauro GL, Leonardi G, Alito A, Respizzi S, Kon E, Di Matteo B. Safety and Efficacy of Hybrid Cooperative Complexes of Sodium Hyaluronate and Sodium Chondroitin for the Treatment of Patients with Symptomatic Knee Osteoarthritis. Rheumatol Ther. 2024 Apr;11(2):381-395. doi: 10.1007/s40744-024-00643-8